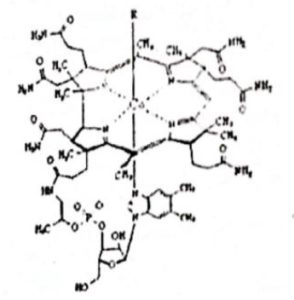
10. In 1956, Dorothy Crowfoot Hodgkin discovered the structure of Vitamin B12 or its other name “Cobalamin” because it has a transition metal cobalt as the central atom surrounded by complex amine groups and other complex functional groups as multidentate ligands

Based on the chemical structure of Vitamin B12, what could be the coordination number
I AM STUDENT
Sir appreciate your work but can you please also add mdcat szambu past paper!
“Thank you, Aeman Rehan, for visiting MDCAT1.com! We sincerely appreciate your time and interest in our website. Yes, we will upload Szambu Papers shortly.”
sir really really appreciate your hard work… thankyou sooo much for this
I am facing a problem … NUMS 2014-2018 past papers are not opening… could you plz tell me what to do?
also I have a request … please add SZAMBU past papers also …